Ref - ReinForcement 2nd Edition.pdf
Richard S. Sutton
일단 해석학과 대수로 고통받던 나날중에 프로젝트를 위해 강화학습을 따로 스터디를 진행하였다.
바이블이라고 하는 Richard Sutton 의 책을 보면서 배운내용을 정리하고자 한다.
다만 수학을 보다가 이쪽 내용을 봐서 그런지 모르겠는데
전체적으로 Markov 전재를 하고 다룬다는 점에서 일반적인 문제를 특수한 경우로 정의하여 다루는 것 같고
일종의 점화식들 : 이렇게 돌리면 최적의 가치함수로 수렴할것 이다 라는 내용이 중간중간에 자주 나오는데
바이블이란 책을 보는데도 이 것들이 이유가 없이 애매하다. 일단 내가 잘몰라서 그런것이라 생각하고 넘어가긴했지만 생각해 볼점이 많을것 같다.
실제로 강화학습이 문제에 잘안쓰이는 이유도 이쪽으로 투영시키기 위해서는 첫번째로 State 로 상태를 정의할수 있는 문제 여야하며 두번째는 수렴성이 명확히 보장되지 않아서가 아닐까 싶다. (아니면 내가 잘 이해못했거나.. 책을 보고도 명확히 이해가 안되는건 역시 문제가 있다. )
chapter 3 MDP
강화학습 에이전트 란 행동(Action)을 하면서 보상(Reward)을 얻는다. 내부적인 값은 상태(State) 값을 갖는다.
MDP
1. 상태를 갖는다. 상태를 갖음으로써, 즉각적인 보상외에 전이된 상태의 보상, 즉 Delay Reward 를 고려해야한다.
2. 지연된 보상을 고려하기위해서 v* q* 등을 고려한다.
3. p 는 State-Trainsition Property 로 볼 수 있는데 바로 전 상태에만 영향을 받는다(Markov) 및 MDP 의 Dynmaics 이라고 불리기도한다.

4. 위로 부터 보상의 기대값 r(s,a) = Ra * sigma_s'( p(s',r | s,a)를 구할 수 있다.
5. 장기적 보상을 최대로 갖는 목표(goal)를 갖는다.
6. Policy 정책(pi) 에 대한 가치 함수 ( value function) 를 정책 pi 를 따랏을 경우 예상되는 이득의 기대값으로 정의한다.

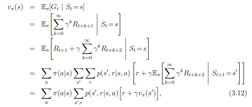
7. 6 에서 정의한 내용들은 Bellman Equation(3.12), 아래와 같이 가치 함수(s) = 시그마(가치함수(s')* 상태전이확률) 을 만족해야한다. 이때 이후 가치함수를 이용함으로써 현재 가치를 알아내기 때문에 Bootstrap 기법이라고 하기도한다.

8. 6,7의 에 정의한 value Function 에 대해서는 최적 정책함수 (Optimal Value Function) 이 Uniquae 하게 존재 하고, 아래의 최적 Bellman Equation 을 만족해야한다.
7과 비교했을 때, 기대값이 아닌 최대값으로 Update 를 해야 하는것이 중요하다.
v의 경우 action 을 수행한 다음의 얻게될 전이확률 * 보상의 합 (action 수행뒤 다음 State 가 꼭 1개는 아니다)이 최대가 되야한다.
q 의 경우 현재 상태와 액션을 결정 되 있고 (s,a) s' 도 전이확률로써 결정되어있다. 그렇기 때문에 각각의 다음 state s' 에 대해서 취할수 있는 action a' 들 중 최대의 값을 갖는 a' 를 택한다. 즉 다음 State s' 에서 할 수 있는 action 중에서 최대 q* 를 가져와서 업데이트한다.

9. 8에 대해서 풀게되면, v* 또는 q* 를 알 수 있고, 최적정책은 탐욕적으로 결정하면된다.
9. MDP 라는 것은 보통 p 를 알고있다라는 것을 뜻한다. 즉 상태 와 상태전이확률에 대한 이해가 확실하고, MDP 에서 M(markov) 은 p 자체 를 정의 할수 있다는 것을 뜻한다.
'Machine.Learning > reinforcement' 카테고리의 다른 글
| Blackjack with DP vs Blackjack with MC (0) | 2020.12.08 |
|---|---|
| Cliff exploration, Sarsa vs Q-Learning (0) | 2020.12.06 |
| 6장 TD (0) | 2020.11.30 |
| 5. Monte Carlo method (MC method) (0) | 2020.11.30 |
| 4. 4장 DP (Policy Evaluation and improvement) (0) | 2020.11.30 |